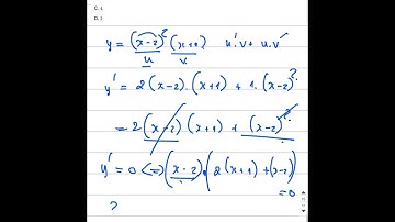
Tính khoảng cách giữa hai điểm cực trị của đồ thị hàm số - Trả lời ngắn- Toán 12

Tonton & Download Video Musik Gratis

⬇ DOWNLOAD NOW
Kalau muncul iklan pop-up, tutup lalu klik tombol kembali

Download lagu Tính khoảng cách giữa hai điểm cực trị của đồ thị hàm số - Trả lời ngắn- Toán 12 secara gratis hanya untuk keperluan promosi. Dukung artis favorit kamu dengan membeli musik original di iTunes atau platform resmi lainnya.