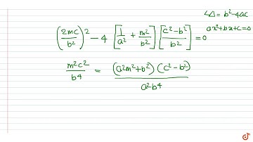
If the locus of the middle point of the portion of a tangent of the ellipse `x^2/a^2+y^2/b^2=1`...

Tonton & Download Video Musik Gratis

⬇ DOWNLOAD NOW
Kalau muncul iklan pop-up, tutup lalu klik tombol kembali

Download lagu If the locus of the middle point of the portion of a tangent of the ellipse `x^2/a^2+y^2/b^2=1`... secara gratis hanya untuk keperluan promosi. Dukung artis favorit kamu dengan membeli musik original di iTunes atau platform resmi lainnya.