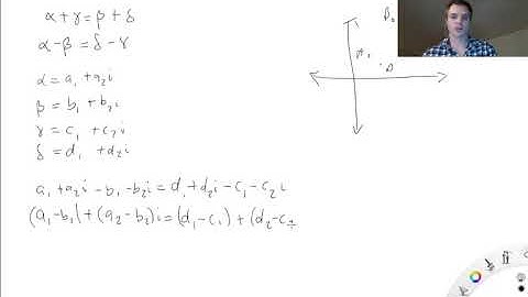
The points z1,z2,z3,z4 in the complex plane are the vertices of a parallelogram iff

Tonton & Download Video Musik Gratis

⬇ DOWNLOAD NOW
Kalau muncul iklan pop-up, tutup lalu klik tombol kembali

Download lagu The points z1,z2,z3,z4 in the complex plane are the vertices of a parallelogram iff secara gratis hanya untuk keperluan promosi. Dukung artis favorit kamu dengan membeli musik original di iTunes atau platform resmi lainnya.