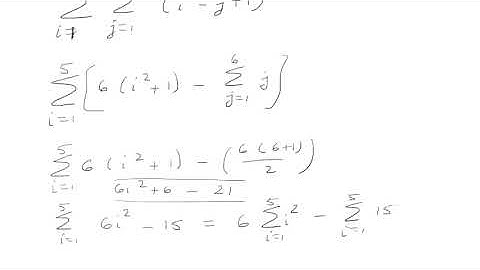
Can You Correctly Evaluate This Double Summation? #mathsshorts #doublesummations

Tonton & Download Video Musik Gratis

⬇ DOWNLOAD NOW
Kalau muncul iklan pop-up, tutup lalu klik tombol kembali

Download lagu Can You Correctly Evaluate This Double Summation? #mathsshorts #doublesummations secara gratis hanya untuk keperluan promosi. Dukung artis favorit kamu dengan membeli musik original di iTunes atau platform resmi lainnya.