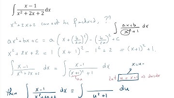
M 20 05: primitive of rational function - denominator irreducible quadratic polynomial

Tonton & Download Video Musik Gratis

⬇ DOWNLOAD NOW
Kalau muncul iklan pop-up, tutup lalu klik tombol kembali

Download lagu M 20 05: primitive of rational function - denominator irreducible quadratic polynomial secara gratis hanya untuk keperluan promosi. Dukung artis favorit kamu dengan membeli musik original di iTunes atau platform resmi lainnya.