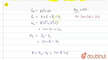
In an A.P., if sum of it's first n terms is 3n²+5n & its kth term is 164, find value of k. #class10

Tonton & Download Video Musik Gratis

⬇ DOWNLOAD NOW
Kalau muncul iklan pop-up, tutup lalu klik tombol kembali

Download lagu In an A.P., if sum of it's first n terms is 3n²+5n & its kth term is 164, find value of k. #class10 secara gratis hanya untuk keperluan promosi. Dukung artis favorit kamu dengan membeli musik original di iTunes atau platform resmi lainnya.