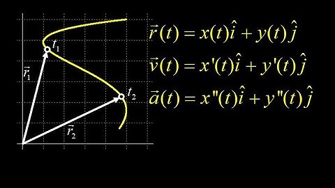
Problem 12.2.004 - Find r(t0) and r'(t0). Sketch the path, position and velocity vectors at t0.

Tonton & Download Video Musik Gratis

⬇ DOWNLOAD NOW
Kalau muncul iklan pop-up, tutup lalu klik tombol kembali

Download lagu Problem 12.2.004 - Find r(t0) and r'(t0). Sketch the path, position and velocity vectors at t0. secara gratis hanya untuk keperluan promosi. Dukung artis favorit kamu dengan membeli musik original di iTunes atau platform resmi lainnya.