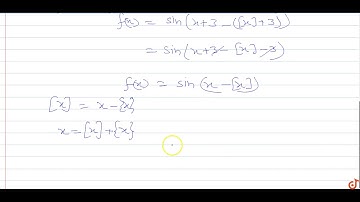
lim _x →π/2sin x/cos ^-1[1/4(3 sin x-sin 3 x)], (where [.] denotes greatest integer function) is:...

Tonton & Download Video Musik Gratis

⬇ DOWNLOAD NOW
Kalau muncul iklan pop-up, tutup lalu klik tombol kembali

Download lagu lim _x →π/2sin x/cos ^-1[1/4(3 sin x-sin 3 x)], (where [.] denotes greatest integer function) is:... secara gratis hanya untuk keperluan promosi. Dukung artis favorit kamu dengan membeli musik original di iTunes atau platform resmi lainnya.