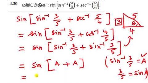
12th Maths | Chapter 4 | Inverse Trigonometric Functions | Example 4.20

Tonton & Download Video Musik Gratis

⬇ DOWNLOAD NOW
Kalau muncul iklan pop-up, tutup lalu klik tombol kembali

Download lagu 12th Maths | Chapter 4 | Inverse Trigonometric Functions | Example 4.20 secara gratis hanya untuk keperluan promosi. Dukung artis favorit kamu dengan membeli musik original di iTunes atau platform resmi lainnya.