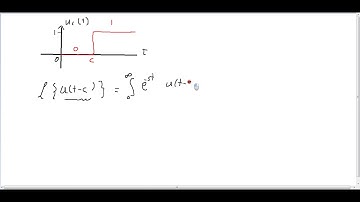
Unit step function | Heaviside function, Laplace Transforms with u(t-a) | Prof. (Dr.) S. K. Paikray

Tonton & Download Video Musik Gratis

⬇ DOWNLOAD NOW
Kalau muncul iklan pop-up, tutup lalu klik tombol kembali

Download lagu Unit step function | Heaviside function, Laplace Transforms with u(t-a) | Prof. (Dr.) S. K. Paikray secara gratis hanya untuk keperluan promosi. Dukung artis favorit kamu dengan membeli musik original di iTunes atau platform resmi lainnya.