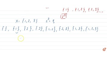
Proof of total number of subsets of a finite set is 2^n | Proof | Binomial theorem | Set theory

Tonton & Download Video Musik Gratis

⬇ DOWNLOAD NOW
Kalau muncul iklan pop-up, tutup lalu klik tombol kembali

Download lagu Proof of total number of subsets of a finite set is 2^n | Proof | Binomial theorem | Set theory secara gratis hanya untuk keperluan promosi. Dukung artis favorit kamu dengan membeli musik original di iTunes atau platform resmi lainnya.