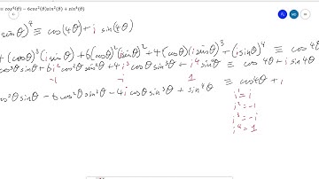
proving trignometric identities using de Moivre's theorem @UgMathTutor

Tonton & Download Video Musik Gratis

⬇ DOWNLOAD NOW
Kalau muncul iklan pop-up, tutup lalu klik tombol kembali

Download lagu proving trignometric identities using de Moivre's theorem @UgMathTutor secara gratis hanya untuk keperluan promosi. Dukung artis favorit kamu dengan membeli musik original di iTunes atau platform resmi lainnya.