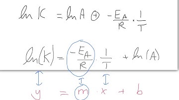
4 / 4 - Lecture 17 - Example problem of solving for Activation Energy

Tonton & Download Video Musik Gratis

⬇ DOWNLOAD NOW
Kalau muncul iklan pop-up, tutup lalu klik tombol kembali

Download lagu 4 / 4 - Lecture 17 - Example problem of solving for Activation Energy secara gratis hanya untuk keperluan promosi. Dukung artis favorit kamu dengan membeli musik original di iTunes atau platform resmi lainnya.