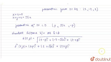
The shortest distance between any two opposite edges of the tetrahedron formed by planes x+y=0, y...

Tonton & Download Video Musik Gratis

⬇ DOWNLOAD NOW
Kalau muncul iklan pop-up, tutup lalu klik tombol kembali

Download lagu The shortest distance between any two opposite edges of the tetrahedron formed by planes x+y=0, y... secara gratis hanya untuk keperluan promosi. Dukung artis favorit kamu dengan membeli musik original di iTunes atau platform resmi lainnya.