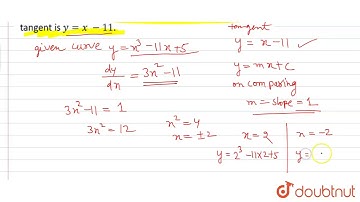
Find the point on the curve `y=x^3-11 x+5` at which the tangent is `y = x - 11` ....

Tonton & Download Video Musik Gratis

⬇ DOWNLOAD NOW
Kalau muncul iklan pop-up, tutup lalu klik tombol kembali

Download lagu Find the point on the curve `y=x^3-11 x+5` at which the tangent is `y = x - 11` .... secara gratis hanya untuk keperluan promosi. Dukung artis favorit kamu dengan membeli musik original di iTunes atau platform resmi lainnya.