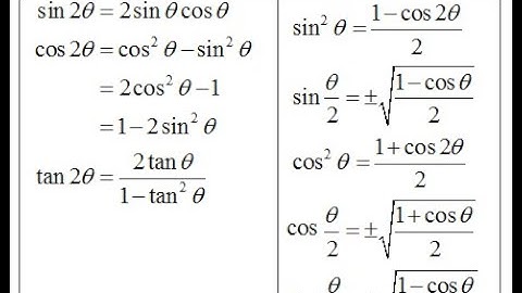
Submultiple Angle in Trigonometry ll Important Question for SEE Exam ll IR Simkhada

Tonton & Download Video Musik Gratis

⬇ DOWNLOAD NOW
Kalau muncul iklan pop-up, tutup lalu klik tombol kembali

Download lagu Submultiple Angle in Trigonometry ll Important Question for SEE Exam ll IR Simkhada secara gratis hanya untuk keperluan promosi. Dukung artis favorit kamu dengan membeli musik original di iTunes atau platform resmi lainnya.