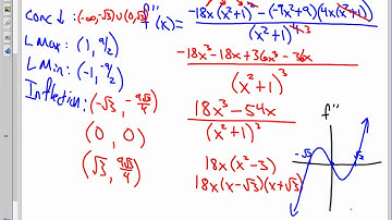
Calculus Unit 4.3 Notes First and Second Derivative Tests for non polynomials 2015

Tonton & Download Video Musik Gratis

⬇ DOWNLOAD NOW
Kalau muncul iklan pop-up, tutup lalu klik tombol kembali

Download lagu Calculus Unit 4.3 Notes First and Second Derivative Tests for non polynomials 2015 secara gratis hanya untuk keperluan promosi. Dukung artis favorit kamu dengan membeli musik original di iTunes atau platform resmi lainnya.