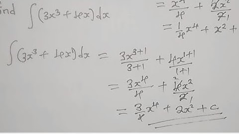
2024 GCE MATHEMATICS PAPER 1 QUESTION 19

Tonton & Download Video Musik Gratis

⬇ DOWNLOAD NOW
Kalau muncul iklan pop-up, tutup lalu klik tombol kembali

Download lagu 2024 GCE MATHEMATICS PAPER 1 QUESTION 19 secara gratis hanya untuk keperluan promosi. Dukung artis favorit kamu dengan membeli musik original di iTunes atau platform resmi lainnya.