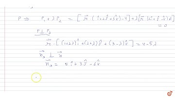
XII Three Dimensional Geometry Find the equation of the plane which contains the line of intersectio

Tonton & Download Video Musik Gratis

⬇ DOWNLOAD NOW
Kalau muncul iklan pop-up, tutup lalu klik tombol kembali

Download lagu XII Three Dimensional Geometry Find the equation of the plane which contains the line of intersectio secara gratis hanya untuk keperluan promosi. Dukung artis favorit kamu dengan membeli musik original di iTunes atau platform resmi lainnya.