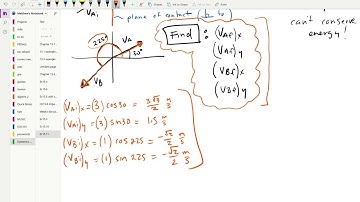
Ex 15.12 Engineering Dynamics (ME242 at UNLV) Matt Pusko

Tonton & Download Video Musik Gratis

⬇ DOWNLOAD NOW
Kalau muncul iklan pop-up, tutup lalu klik tombol kembali

Download lagu Ex 15.12 Engineering Dynamics (ME242 at UNLV) Matt Pusko secara gratis hanya untuk keperluan promosi. Dukung artis favorit kamu dengan membeli musik original di iTunes atau platform resmi lainnya.