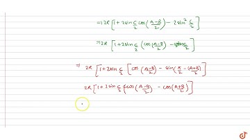
In a triangle ABC if `a^2+b^2=101c^2` then find the value of `cotC/(cotA+cotB)`

Tonton & Download Video Musik Gratis

⬇ DOWNLOAD NOW
Kalau muncul iklan pop-up, tutup lalu klik tombol kembali

Download lagu In a triangle ABC if `a^2+b^2=101c^2` then find the value of `cotC/(cotA+cotB)` secara gratis hanya untuk keperluan promosi. Dukung artis favorit kamu dengan membeli musik original di iTunes atau platform resmi lainnya.