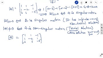
A system of m homogeneous linear equations Ax=0 in n variable has non-trivial solution ifandonly if?

Tonton & Download Video Musik Gratis

⬇ DOWNLOAD NOW
Kalau muncul iklan pop-up, tutup lalu klik tombol kembali

Download lagu A system of m homogeneous linear equations Ax=0 in n variable has non-trivial solution ifandonly if? secara gratis hanya untuk keperluan promosi. Dukung artis favorit kamu dengan membeli musik original di iTunes atau platform resmi lainnya.