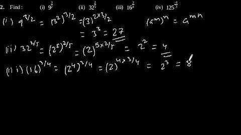
CBSE Class-9 Maths NCERT solution - Number system - Exercise 1.6 - Problem 1

Tonton & Download Video Musik Gratis

⬇ DOWNLOAD NOW
Kalau muncul iklan pop-up, tutup lalu klik tombol kembali

Download lagu CBSE Class-9 Maths NCERT solution - Number system - Exercise 1.6 - Problem 1 secara gratis hanya untuk keperluan promosi. Dukung artis favorit kamu dengan membeli musik original di iTunes atau platform resmi lainnya.