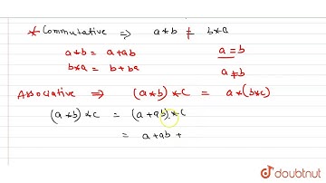
Let Q_0 be the set of all nonzero rational numbers. Let * be a binary operation on Q_0, defined b...

Tonton & Download Video Musik Gratis

⬇ DOWNLOAD NOW
Kalau muncul iklan pop-up, tutup lalu klik tombol kembali

Download lagu Let Q_0 be the set of all nonzero rational numbers. Let * be a binary operation on Q_0, defined b... secara gratis hanya untuk keperluan promosi. Dukung artis favorit kamu dengan membeli musik original di iTunes atau platform resmi lainnya.