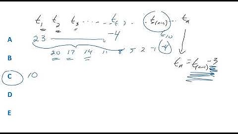
Sequences 1- In the arithmetic sequence t1, t2, t3, ..., tn, t1=23 and tn=tn−1−3 for each ...

Tonton & Download Video Musik Gratis

⬇ DOWNLOAD NOW
Kalau muncul iklan pop-up, tutup lalu klik tombol kembali

Download lagu Sequences 1- In the arithmetic sequence t1, t2, t3, ..., tn, t1=23 and tn=tn−1−3 for each ... secara gratis hanya untuk keperluan promosi. Dukung artis favorit kamu dengan membeli musik original di iTunes atau platform resmi lainnya.