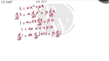
The relation between time \( t \) and distance \( x \) is \( t=a x^{2}+\beta x \) where \( \alph...

Tonton & Download Video Musik Gratis

⬇ DOWNLOAD NOW
Kalau muncul iklan pop-up, tutup lalu klik tombol kembali

Download lagu The relation between time \( t \) and distance \( x \) is \( t=a x^{2}+\beta x \) where \( \alph... secara gratis hanya untuk keperluan promosi. Dukung artis favorit kamu dengan membeli musik original di iTunes atau platform resmi lainnya.