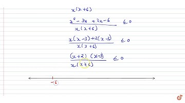
The number of integer satisfying the inequality ` x/(x+6) lt1/x` is :

Tonton & Download Video Musik Gratis

⬇ DOWNLOAD NOW
Kalau muncul iklan pop-up, tutup lalu klik tombol kembali

Download lagu The number of integer satisfying the inequality ` x/(x+6) lt1/x` is : secara gratis hanya untuk keperluan promosi. Dukung artis favorit kamu dengan membeli musik original di iTunes atau platform resmi lainnya.