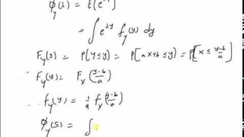
MGF of a Linear Transformation of a Random Variable | Moment Generating Functions | Probability

Tonton & Download Video Musik Gratis

⬇ DOWNLOAD NOW
Kalau muncul iklan pop-up, tutup lalu klik tombol kembali

Download lagu MGF of a Linear Transformation of a Random Variable | Moment Generating Functions | Probability secara gratis hanya untuk keperluan promosi. Dukung artis favorit kamu dengan membeli musik original di iTunes atau platform resmi lainnya.