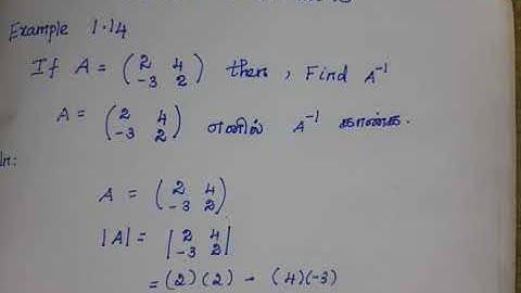
TN Syllabus 11th Business Maths Chapter 1 Matrices & Determinants Example 1.14

Tonton & Download Video Musik Gratis

⬇ DOWNLOAD NOW
Kalau muncul iklan pop-up, tutup lalu klik tombol kembali

Download lagu TN Syllabus 11th Business Maths Chapter 1 Matrices & Determinants Example 1.14 secara gratis hanya untuk keperluan promosi. Dukung artis favorit kamu dengan membeli musik original di iTunes atau platform resmi lainnya.