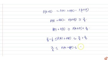
If A and B are two events such that P(A) = 3/8, P(B) = 5/8. and P(AUB) = 3/4, find P(A/B) and P(B...

Tonton & Download Video Musik Gratis

⬇ DOWNLOAD NOW
Kalau muncul iklan pop-up, tutup lalu klik tombol kembali

Download lagu If A and B are two events such that P(A) = 3/8, P(B) = 5/8. and P(AUB) = 3/4, find P(A/B) and P(B... secara gratis hanya untuk keperluan promosi. Dukung artis favorit kamu dengan membeli musik original di iTunes atau platform resmi lainnya.