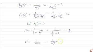
The value of x satisfying the equation log_((x+1))⁡ (^2+7x+5)+log_((2x+5))⁡〖〖(x+1)〗^2=4〗 〗 is:

Tonton & Download Video Musik Gratis

⬇ DOWNLOAD NOW
Kalau muncul iklan pop-up, tutup lalu klik tombol kembali

Download lagu The value of x satisfying the equation log_((x+1))⁡ (^2+7x+5)+log_((2x+5))⁡〖〖(x+1)〗^2=4〗 〗 is: secara gratis hanya untuk keperluan promosi. Dukung artis favorit kamu dengan membeli musik original di iTunes atau platform resmi lainnya.