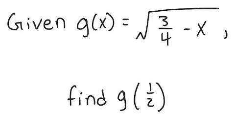
If g={(1,1),(2,3),(3,5),(4,7)} is a function described by the formula g(x)=α x+β, what values sho...

Tonton & Download Video Musik Gratis

⬇ DOWNLOAD NOW
Kalau muncul iklan pop-up, tutup lalu klik tombol kembali

Download lagu If g={(1,1),(2,3),(3,5),(4,7)} is a function described by the formula g(x)=α x+β, what values sho... secara gratis hanya untuk keperluan promosi. Dukung artis favorit kamu dengan membeli musik original di iTunes atau platform resmi lainnya.