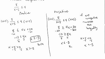
Algebra 2 Section 8-5, part 2 Solving Rational Equations and Inequalities

Tonton & Download Video Musik Gratis

⬇ DOWNLOAD NOW
Kalau muncul iklan pop-up, tutup lalu klik tombol kembali

Download lagu Algebra 2 Section 8-5, part 2 Solving Rational Equations and Inequalities secara gratis hanya untuk keperluan promosi. Dukung artis favorit kamu dengan membeli musik original di iTunes atau platform resmi lainnya.