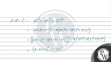
Given that \( \alpha, \gamma \) are roots of the equation \( A x^{2...

Tonton & Download Video Musik Gratis

⬇ DOWNLOAD NOW
Kalau muncul iklan pop-up, tutup lalu klik tombol kembali

Download lagu Given that \( \alpha, \gamma \) are roots of the equation \( A x^{2... secara gratis hanya untuk keperluan promosi. Dukung artis favorit kamu dengan membeli musik original di iTunes atau platform resmi lainnya.