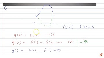
If f(x) is continuous in [0,2] and f(0)=f(2). Then the equation f(x)=f(x+1) has

Tonton & Download Video Musik Gratis

⬇ DOWNLOAD NOW
Kalau muncul iklan pop-up, tutup lalu klik tombol kembali

Download lagu If f(x) is continuous in [0,2] and f(0)=f(2). Then the equation f(x)=f(x+1) has secara gratis hanya untuk keperluan promosi. Dukung artis favorit kamu dengan membeli musik original di iTunes atau platform resmi lainnya.