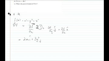
(problem 1.11+1.12) from GRIFFITH'S ELECTRODYNAMICS

Tonton & Download Video Musik Gratis

⬇ DOWNLOAD NOW
Kalau muncul iklan pop-up, tutup lalu klik tombol kembali

Download lagu (problem 1.11+1.12) from GRIFFITH'S ELECTRODYNAMICS secara gratis hanya untuk keperluan promosi. Dukung artis favorit kamu dengan membeli musik original di iTunes atau platform resmi lainnya.