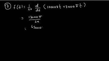
An angle-modulated signal with carrier frequency ωc=2πx106 is described by the equation φEM(t…

Tonton & Download Video Musik Gratis

⬇ DOWNLOAD NOW
Kalau muncul iklan pop-up, tutup lalu klik tombol kembali

Download lagu An angle-modulated signal with carrier frequency ωc=2πx106 is described by the equation φEM(t… secara gratis hanya untuk keperluan promosi. Dukung artis favorit kamu dengan membeli musik original di iTunes atau platform resmi lainnya.