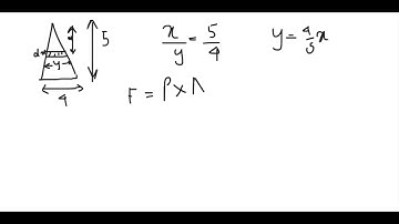
An equilateral triangular plate with sides 4 m is submerged vertically in water

Tonton & Download Video Musik Gratis

⬇ DOWNLOAD NOW
Kalau muncul iklan pop-up, tutup lalu klik tombol kembali

Download lagu An equilateral triangular plate with sides 4 m is submerged vertically in water secara gratis hanya untuk keperluan promosi. Dukung artis favorit kamu dengan membeli musik original di iTunes atau platform resmi lainnya.