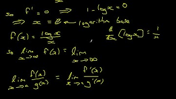
e^ Pi vs Pi^e: which is bigger? A Pi day battle. (visual proof; calculus)

Tonton & Download Video Musik Gratis

⬇ DOWNLOAD NOW
Kalau muncul iklan pop-up, tutup lalu klik tombol kembali

Download lagu e^ Pi vs Pi^e: which is bigger? A Pi day battle. (visual proof; calculus) secara gratis hanya untuk keperluan promosi. Dukung artis favorit kamu dengan membeli musik original di iTunes atau platform resmi lainnya.