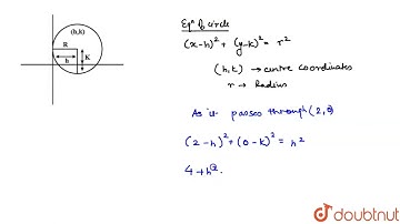
A variable circle passes through the fixed point (2, 0) and touches y-axis then the locus of i

Tonton & Download Video Musik Gratis

⬇ DOWNLOAD NOW
Kalau muncul iklan pop-up, tutup lalu klik tombol kembali

Download lagu A variable circle passes through the fixed point (2, 0) and touches y-axis then the locus of i secara gratis hanya untuk keperluan promosi. Dukung artis favorit kamu dengan membeli musik original di iTunes atau platform resmi lainnya.