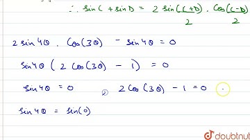
Find all the value of ` theta ` satisfying the equation , ` sin 7 theta = sin theta + sin

Tonton & Download Video Musik Gratis

⬇ DOWNLOAD NOW
Kalau muncul iklan pop-up, tutup lalu klik tombol kembali

Download lagu Find all the value of ` theta ` satisfying the equation , ` sin 7 theta = sin theta + sin secara gratis hanya untuk keperluan promosi. Dukung artis favorit kamu dengan membeli musik original di iTunes atau platform resmi lainnya.