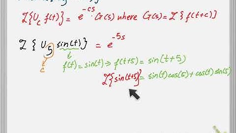
Laplace Transform of Sin(at) Function: Step-by-Step Guide

Tonton & Download Video Musik Gratis

⬇ DOWNLOAD NOW
Kalau muncul iklan pop-up, tutup lalu klik tombol kembali

Download lagu Laplace Transform of Sin(at) Function: Step-by-Step Guide secara gratis hanya untuk keperluan promosi. Dukung artis favorit kamu dengan membeli musik original di iTunes atau platform resmi lainnya.