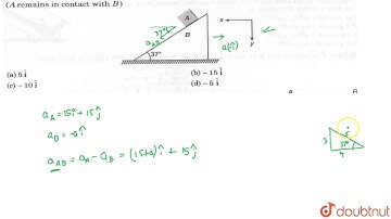
In the given figure, the acceleration of A is a⃗_A=15 î+15 ĵ. Then the acceleration of B is ( A r...

Tonton & Download Video Musik Gratis

⬇ DOWNLOAD NOW
Kalau muncul iklan pop-up, tutup lalu klik tombol kembali

Download lagu In the given figure, the acceleration of A is a⃗_A=15 î+15 ĵ. Then the acceleration of B is ( A r... secara gratis hanya untuk keperluan promosi. Dukung artis favorit kamu dengan membeli musik original di iTunes atau platform resmi lainnya.