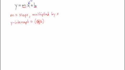
1878 {HECANHELP.COM} Slope Two Points x- and y- intercepts Plot the Line College Algebra

Tonton & Download Video Musik Gratis

⬇ DOWNLOAD NOW
Kalau muncul iklan pop-up, tutup lalu klik tombol kembali

Download lagu 1878 {HECANHELP.COM} Slope Two Points x- and y- intercepts Plot the Line College Algebra secara gratis hanya untuk keperluan promosi. Dukung artis favorit kamu dengan membeli musik original di iTunes atau platform resmi lainnya.