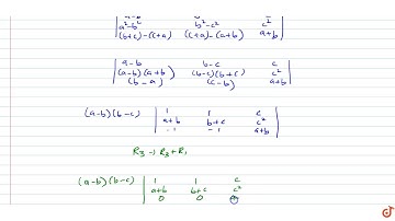
Using properties of determinants, prove the following. 5a-2a+b-2a+c-2b+a5b-2b+c-2c+a-2c+b5c=12(a+...

Tonton & Download Video Musik Gratis

⬇ DOWNLOAD NOW
Kalau muncul iklan pop-up, tutup lalu klik tombol kembali

Download lagu Using properties of determinants, prove the following. 5a-2a+b-2a+c-2b+a5b-2b+c-2c+a-2c+b5c=12(a+... secara gratis hanya untuk keperluan promosi. Dukung artis favorit kamu dengan membeli musik original di iTunes atau platform resmi lainnya.