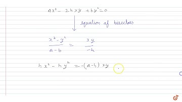
Equation for bisector of the angle between two lines represented by ax^2+2hxy+by^2=0

Tonton & Download Video Musik Gratis

⬇ DOWNLOAD NOW
Kalau muncul iklan pop-up, tutup lalu klik tombol kembali

Download lagu Equation for bisector of the angle between two lines represented by ax^2+2hxy+by^2=0 secara gratis hanya untuk keperluan promosi. Dukung artis favorit kamu dengan membeli musik original di iTunes atau platform resmi lainnya.