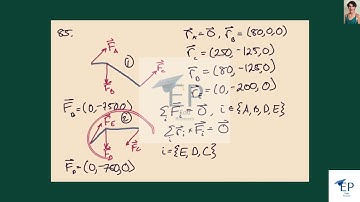
Determine the components of the reactions at D and E if the frame is loaded by a clockwise couple o…

Tonton & Download Video Musik Gratis

⬇ DOWNLOAD NOW
Kalau muncul iklan pop-up, tutup lalu klik tombol kembali

Download lagu Determine the components of the reactions at D and E if the frame is loaded by a clockwise couple o… secara gratis hanya untuk keperluan promosi. Dukung artis favorit kamu dengan membeli musik original di iTunes atau platform resmi lainnya.