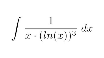
How to Integrate 1 / (x·ln(x)³) | Substitution Method Explained

Tonton & Download Video Musik Gratis

⬇ DOWNLOAD NOW
Kalau muncul iklan pop-up, tutup lalu klik tombol kembali

Download lagu How to Integrate 1 / (x·ln(x)³) | Substitution Method Explained secara gratis hanya untuk keperluan promosi. Dukung artis favorit kamu dengan membeli musik original di iTunes atau platform resmi lainnya.