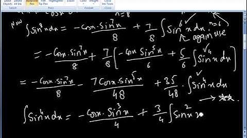
Exercise 4.6 Part 3 | Calculus with Analytic Geometry | SM Yusuf

Tonton & Download Video Musik Gratis

⬇ DOWNLOAD NOW
Kalau muncul iklan pop-up, tutup lalu klik tombol kembali

Download lagu Exercise 4.6 Part 3 | Calculus with Analytic Geometry | SM Yusuf secara gratis hanya untuk keperluan promosi. Dukung artis favorit kamu dengan membeli musik original di iTunes atau platform resmi lainnya.