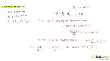
A closed coil having 100 turns is rotated in a uniform magnetic field \( B=4 \cdot 0 \times 10^{...

Tonton & Download Video Musik Gratis

⬇ DOWNLOAD NOW
Kalau muncul iklan pop-up, tutup lalu klik tombol kembali

Download lagu A closed coil having 100 turns is rotated in a uniform magnetic field \( B=4 \cdot 0 \times 10^{... secara gratis hanya untuk keperluan promosi. Dukung artis favorit kamu dengan membeli musik original di iTunes atau platform resmi lainnya.